Технический перевод

 Операции с матрицами: программирование на C++

  

Главная

 

 

6.3. Рамы на двух шарнирных опорах

 

В дальнейшем для краткости будем говорить "шарнирная рама", имея в виду ее статическую определимость и отсутствие промежуточных шарниров.

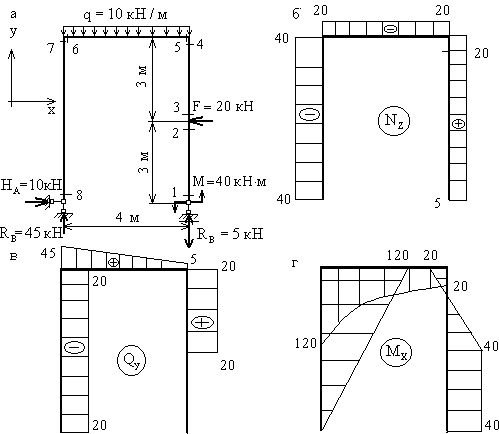
Пример 2. Рассмотрим раму той же конфигурации, размеров и с теми же нагрузками, что и в предыдущем примере, но с шарнирным опиранием (рис.6.3,а).

Здесь также имеем 8 характерных сечений, но для построения эпюр необходимо вычислить сначала опорные реакции, т.к. ни для одного из сечений нельзя выбрать отсеченную часть так, чтобы избежать попадания в нее опоры с неизвестной реакцией.

Для определения опорных реакций в плоских шарнирных рамах используются следующие уравнения равновесия:

http://www.stroitmeh.ru/lect20.files/image001.gif

Первое уравнение равновесия используется в том из двух приведенных вариантов, который будет содержать одну неизвестную опорную реакцию.

Так, в рассматриваемом примере этим условием будет http://www.stroitmeh.ru/lect20.files/image003.gif= 0, которое будет содержать неизвестную реакцию HA (в то время как условие http://www.stroitmeh.ru/lect20.files/image005.gif= 0 содержало бы две неизвестных реакции). Если бы опоры располагались так, что вертикальным является один стержень, то в качестве первого шага использовалось условие http://www.stroitmeh.ru/lect20.files/image005.gif= 0.

http://www.stroitmeh.ru/lect20.files/image007.gif

Рис. 6.3

 

Второе и третье уравнения равновесия (http://www.stroitmeh.ru/lect20.files/image009.gif= 0, http://www.stroitmeh.ru/lect20.files/image011.gif= 0) - такие же, как и для балок, но в одно из них обязательно войдет реакция, вычисленная из первого уравнения (иногда - с нулевым плечом).

В качестве проверки вычисленных реакций используется условие, противоположное первому, то есть http://www.stroitmeh.ru/lect20.files/image005.gif= 0 или http://www.stroitmeh.ru/lect20.files/image003.gif=0.

Построение эпюр Nz, Qy и Mx в шарнирных рамах выполняется так же, как и в защемленных, но " с меньшими затратами", так как после вычисления реакций опор направление обхода рамы не играет роли, и выбор отсеченной части в каждом случае определяется ее простотой.

Вычислим реакции опор рамы (рис.6.3,а)

Уравнения статики:

http://www.stroitmeh.ru/lect20.files/image012.gif

Знак "-", полученный при вычислении реакции RA, говорит, что принятое для нее направление нужно изменить на противоположное. Выполним проверку:

http://www.stroitmeh.ru/lect20.files/image013.gif,

то есть реакции опор вычислены правильно.

Построение эпюры Nz.

Двигаясь по оси рамы от сечения 1 к сечению 6, получим:

Nz,1 = Nz,2 = Nz,3 = Nz,4 = RB = 5 кН,

Nz,5 = Nz,6 = - F = - 45 кН.

Для сечений 7 и 8 проще рассматривать отсеченную часть, продвигаясь от опоры А к сечению 7:

Nz,8 = Nz,7 = - RA = - 45 кН.

Этот же результат получим из рассмотрения отсеченной части 1-6:

Nz,7 = Nz,8 = - RB - q·4 = - 45 кН.

По вычисленным значениям строим эпюру Nz (рис.6.3,б)

Построение эпюры Qy.

Из рассмотрения отсеченной части 1-5:

Qy,1 = Qy,2 = 0,

Qy,3 = Qy,4 = F = 20 кН,

Qy,1 = RA = 5 кН.

Из рассмотрения отсеченной части 8-6:

Qy,8 = Qy,7 = - HA = - 20 кН,

Qy,1 = RA = 45 кН.

Эпюра Qy, построенная по вычисленным значениям, показана на рис.6.3,в.

Построение эпюры Mx.

Из рассмотрения отсеченной части 1-5:

Mx,1 = Mx,2 = M = 40 кН·м (сжаты правые волокна стойки);

Mx,3 = Mx,2 = 40 кН·м (плечо силы F равно нулю);

Mx,4 = Mx,5 = M - F·3 = - 20 кН·м (сжаты левые волокна стойки в сечении 4 и нижние волокна ригеля в сечении 5);

Из рассмотрения отсеченной части 8 -6:

Mx,8 = 0,

Mx,7 = Mx,6 = HA·6 = 120 кН·м

(сжаты правые волокна стойки и нижние волокна ригеля в сечениях 7 и 6 соответственно).

Эпюра Mx показана на рис.3,г.

Пример 3. Рассмотрим шарнирную раму более сложной конфигурации (рис.6.4,а).

Здесь необходимо рассматривать 10 характерных сечений для построения эпюр Nz, Qy и Mx. Сечения 1-6 расположены на ригеле слева направо, а сечения 7-10 - на стойке сверху вниз. Как и в предыдущем примере, указанное расположение характерных сечений является безусловно необходимым, а их нумерация - произвольной.

Уравнения статики для вычисления опорных реакций имеют вид:

http://www.stroitmeh.ru/lect20.files/image014.gif

Проверка вычисления опорных реакций:

http://www.stroitmeh.ru/lect20.files/image015.gif

При построении эпюр Nz, Qy и Mx целесообразно выбирать отсеченную часть, продвигаясь к центральному узлу рамы с четырех сторон, т.к. в этом случае определение внутренних силовых факторов в каждом из характерных сечений осуществляется наиболее просто.

http://www.stroitmeh.ru/lect20.files/image016.gif

Рис.6.4

 

Построение эпюр Nz, Qy и Mx .

Из рассмотрения левой относительно центрального узла отсеченной части (сечения 1-2):

http://www.stroitmeh.ru/lect20.files/image017.gif (сжаты верхние волокна).

Из рассмотрения правой отсеченной части (сечения 3-6):

http://www.stroitmeh.ru/lect20.files/image018.gif

Из рассмотрения верхней относительно центрального узла отсеченной части (сечения 7-8):

http://www.stroitmeh.ru/lect20.files/image019.gif

Из рассмотрения нижней отсеченной части (сечения 9-10):

http://www.stroitmeh.ru/lect20.files/image020.gif

Характер эпюры Qy на участках рамы с распределенными нагрузками q1 и q2, а именно, наличие пересечений эпюры с осью рамы, говорит о том, что в этих точках момент Mx принимает экстремальные значения. Определение положений точек пересечения (т.е. тех точек, где Qy = 0) выполняется так же, как и в балках.

Вычислим экстремальные значения момента Mx.

На участках под распределенной нагрузкой q1:

http://www.stroitmeh.ru/lect20.files/image021.gif (сжаты верхние волокна).

На участке с распределенной нагрузкой q2:

http://www.stroitmeh.ru/lect20.files/image022.gif (сжаты правые волокна).

Эпюры Nz, Qy и Mx показаны на рис.6.4,б,г.