Другие статьи

 

Операции с матрицами на C++. Класс DMatrix

 


 

Kamenev-Type Oscillation Criteria for the Second-Order Nonlinear Dynamic Equations with Damping on Time Scales

 

Критерий колеблемости каменевского типа для нелинейных динамических уравнений второго порядка с затуханием по шкале времени

 

M. Tamer Senel

(hindawi.com)

 2012

 

 

ABSTRACT

 

ПРЕДИСЛОВИЕ

 

 

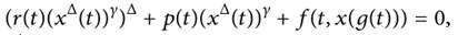
The oscillation of solutions of the second-order nonlinear dynamic equation

 

 

with damping on an arbitrary time scale T, is investigated. The generalized Riccati transformation is applied for the study of the Kamenev-type oscillation criteria for this nonlinear dynamic equation. Several new sufficient conditions for oscillatory solutions of this equation are obtained.

 

 

Изучены колебания решений нелинейного динамического уравнения второго порядка

 

 

с затуханием на произвольной временной шкале T. Для исследования критерия колеблемости каменевского типа данного нелинейного динамического уравнения применено обобщенное преобразование Рикатти. Получены новые достаточные условия колеблемости решений данного уравнения.

 

 

ЧИТАТЬ ПОЛНОСТЬЮ

 

 


Описание: Описание: Описание: Описание: Описание: Описание: Описание: Описание: Рейтинг@Mail.ru