Другие статьи


Операции с матрицами на C++.   Класс DMatrix



 

 

Donsker type theorem for the Rosenblatt process and a binary market model

(Теорема для процесса Розенблатта и бинарная рыночная модель)

 

Soledad Torres, Ciprian A. Tudor

 

2008

 

 

В данной статье будет доказана теорема аппроксимации, подобная теореме Донскера, для процесса Розенблатта, который является самоподобным случайным процессом, демонстрирующим медленно убывающую зависимость. Используя численные результаты и смоделированные данные, покажем, что наша аппроксимация работает очень хорошо. Используем этот результат для конструирования бинарной рыночной модели, порожденной этим процессом, и увидим, что модель допускает возможность арбитража.

 

1.  ВВЕДЕНИЕ

 

Процессы с медленно убывающей зависимостью (МУЗ) активно используются в качестве моделей для различных физических явлений. Процессы с МУЗ проявляются при исследованиях в таких областях, как гидрология и геофизика; недавно свойство МУЗ стало играть важную роль в анализе сетевого трафика и в области телекоммуникаций. Как следствие, для этих направлений были предложены эффективные математические модели, базирующиеся на процессах с МУЗ. Понятия МУЗ и самоподобия также были рассмотрены в сфере финансовой математики. Отличный обзор проявления различных аспектов МУЗ на практике дан в работе [3]. Дебаты о присутствии МУЗ в биржевых котировках ведутся уже давно. Идея о том, что прибыли могут выглядеть как процесс с МУЗ, восходит к Мандельброту ([11]) и получила подтверждение в различных исследованиях. Обратим также внимание на работу [26], где присутствуют конкретные примеры и интересные комментарии по данному вопросу. Справедливости ради надо заметить, что многие авторы отвергают идею присутствия МУЗ в прибылях, как, например, здесь: [10].

Достаточно распространенным является представление, что МУЗ в финансовых моделях прочно связано с возможностью арбитража. Например, для случая рыночной модели, порожденной фрактальным броуновским движением, это подробно показано Rogersом ([17]) и Sottinenом ([22]). В отдельных случаях, например, при наличии операционных издержек, арбитраж может быть исключен (см. [7] или [20]). Различные подходы, основанные на исчислении Wick’а – Ito, развиты в работах [2], [9]. Модели, построенные на процессах с МУЗ, но не являющиеся фрактальным броуновским движением, менее изучены, что стало главным мотивом для написания данной статьи.

Мы предлагаем бинарную рыночную модель на основе негауссовского самоподобного процесса (именуемого процессом Розенблатта), обладающего свойством медленно убывающей зависимости и покажем, что такая модель допускает возможность арбитража. Важно иметь в виду, что для большинства моделей с арбитражом предполагается, что процесс изменения котировок является семимартингалом ([5]), но недавно доказано ([4]), что, с помощью модификации класса допустимых стратегий, можно рассматривать модели с арбитражом на основе немартингалов.

Для построения нашей бинарной рыночной модели, базирующейся на процессе Розенблатта, нам необходима теорема, подобная теореме Донскера, для аппроксимации (по распределению) некоторым возмущенным двумерным случайным блужданием; этот результат самодостаточен. В сущности, эта теорема расширяет результат Sottinen’а [22] и представляет собой вариант так называемой Не-Центральной Предельной Теоремы, доказанной в [6] and [24]. Обращаем внимание, что, поскольку мы рассматриваем негауссовский случай, доказательство требует другой техники.

Наша статья состоит из нескольких частей. Во 2-й части описаны основные свойства процесса Розенблатта. 3-я часть содержит доказательство теоремы Донскера для слабой сходимости (в топологии Скорохода) случайных блужданий к процессу Розенблатта. В 4-й части вводим нашу бинарную рыночную модель, для которой продемонстрирована сходимость к модели Black’а и Scholes’а с шумом Розенблатта. Покажем, что модель допускает арбитражные возможности, и изучим такие возможности.

И, наконец, в Приложении представим численные результаты моделирования, показывающие, что метод работает просто замечательно. Другие подобные численные результаты можно найти в [1] или [16].

 

 

 

2.  ПРЕДВАРИТЕЛЬНЫЕ  СВЕДЕНИЯ

 

 

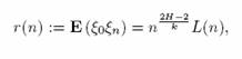
Процесс Розенблатта появился как предел в так называемой Нецентральной Предельной Теореме (см. [6] или [24]). Обратимся к контексту. Пусть  (ξn)nZ    -  стационарная гауссовская последовательность с нулевым мат. ожиданием, единичной дисперсией и функцией корреляции:

 

    (1)

 

Где k ≥ 1, целое, H( ½ , 1) и L(n) => const, n => ∞. Обозначим Hm(x) полином Эрмита степени m, заданный формулой:

 

 

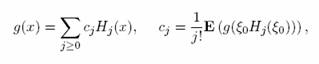
Пусть g – функция, такая, что:   E(g(ξ0)) = 0  и  E(g(ξ0)2) < ∞. Допустим, что g имеет эрмитов ранг, равный k; это значит, что g допускает следующее представление в полиномах Эрмита:

 

причем

 

 

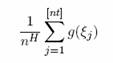
Так как E[g(ξ0)] = 0, то k ≥ 1. Нецентральная Предельная Теорема ([6], [24]) говорит, что последовательность случайных процессов

 

 

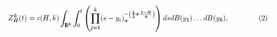
сходится при n → ∞, в смысле конечномерных распределений, к процессу (именуемому процессом Эрмита)

 

 

где x+ = max(x, 0) и данный интеграл – кратный стохастический интеграл Винера-Ито по броуновскому движению B(y))yR (см. [15]) .

 

Вот основные свойства процессов Эрмита:

 

  • процесс демонстрирует медленно убывающую зависимость (функция ковариации стремится к 0 как степенная функция - ”эффект Джозефа”)
  • процесс - H-самоподобный в том смысле, что для любого c > 0   где ” =(d) ” означает равенство всех конечномерных распределений
  • процесс имеет стационарные приращения, то есть совместное распределение    не зависит от h > 0
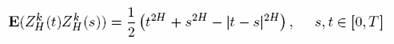
  • ковариация процесса задается формулой

 

 

И, следовательно, для любых s, t € [0, T]

 

 

  • процесс является непрерывным по Гельдеру с показателем   δ< H
  • если k ≥ 2, то ZkH – не гауссовский процесс.

 

Если k = 1, то процесс, заданный формулой (2) – ничто иное, как фрактальное броуновское движение (fBm) с параметром Херста H € (0, ½ ). При k ≥ 2 процессне гауссовский. При k = 2 процесс (2) известен как процесс Розенблатта (названный так M. Taqqu).

 

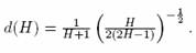
Сосредоточимся на случае k = 2. Будем работать с представлением этого процесса в виде интеграла по винеровскому процессу на конечном интервале. Запишем фрактальное броуновское движение BH с параметром Херста H > ½ так:

 

 

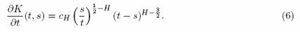
где (Wt, t € [0, T]) – стандартный винеровский процесс и

 

 

где t > s и     Из (5) получим, что для t > s,

 

 

Аналогичное представление для процесса Розенблатта дано в  [25]. Имеем

 

 

где (Wt, t € [0, T]) –броуновское движение,

 

 

и     Условие H > ½ эквивалентно H′ > ¾ .

 

 

 

  1.  СХОДИМОСТЬ  ПО  РАСПРЕДЕЛЕНИЮ  К  ЗАКОНУ  РОЗЕНБЛАТТА

 

-------------------------------------------

-------------------------------------------

-------------------------------------------

 

ЧИТАТЬ  СТАТЬЮ  ПОЛНОСТЬЮ

 

 

Литература к статье:

 

[1] P. Abry and V. Pipiras (2006): Wavelet-based synthesis of the Rosenblatt process. Signal Processing, 86(9), pag. 2326 - 2339.

[2] F. Biagini and B. Oksendal (2003): Minimal variance hedging for fractional Brownian motion. Methods Appl. Anal. 10 (3), pag. 347-362.

[3] R. Cont (2006): Long range dependence in financial markets. Preprint, available online http://www.cmap.polytechnique.frrama/papers/FE05.pdf

[4] R. Coviello and F. Russo (2006): Modeling financial assets without semimartingales. Preprint.

[5] F. Delbaen and W. Schachermayer (1994): A general version of the fundamental theorem of asset pricing. Math. Ann., 300(3), pag. 463520.

[6] R.L. Dobrushin and P.Major (1979): Non-central limit theorems for non-linear functionals of Gaussian fields. Z. Wahrscheinlichkeitstheorie verw. Gebiete, 50, pag. 27-52.

[7] P. Guasoni (2006): No arbitrage under transaction costs, with fractional Brownian motion

and beyond. Mathematical Finance, 16(3), pag. 569-582.

[8] Y.Z. Hu and P.A. Meyer (1988): Sur les int.egrales multiples de Stratonovich. S.eminaire

de Probabilit.es XXII, Lecture Notes in Mathematics, pag. 72-81.

[9] Y.Z. Hu and B. Oksendal (2003): Optimal consumption and portfolio in a Black-Scholes

market driven by fractional Brownian motion. Infin. Dimens. Anal. Quantum Probab.

Relat. Top. 6(4), pag. 519–536.

[10] A. Lo (1991): Long memory in stock market prices. Econometrica, 59, pag. 1279-1313.

[11] B. Mandelbrot (1963): The variation of certain speculative prices. Journal of Business

XXXVI, pag. 392-417.

[12] A. Nieminem (2004): Fractional Brownian motion and Martingale differences. Statistics

and Probability Letters, 70, pag. 1-10.

[13] I. Nourdin (2005): Sch.emas d’approximation associ.es `a une .equation diff.erentielle dirig.ee

par une fonction h.old.erienne; cas du mouvement brownien fractionnaire. C.R. Acad. Sci.

Paris, Ser. I 340 (8), pag. 611-614.

[14] I. Nourdin and C.A. Tudor (2006): Some linear fractional stochastic equations. pag.

Stochastics 78 (2), 51-65.

[15] D. Nualart (1995): Malliavin Calculus and Related Topics. Springer.

[16] V. Pipiras (2004): Wavelet type expansion of the Rosenblatt process. The Journal of

Fourier Analysis and Applications, 10(6), pag. 599-634.

[17] C. Rogers (1997): Arbitrage with fractional Brownian motion. Math. Finance, 7, pag.

95-105.

[18] F. Russo and P. Vallois (1993): Forward backward and symmetric stochastic integration.

Prob. Theory Rel. Fields, 97, pag. 403-421.

[19] F. Russo and P. Vallois (2000): Stochastic calculus with respect to a finite quadratic variation

process. Stochastics and Stochastics Reports, 70, pag. 1-40.

[20] D. M. Salopek (1998): Tolerance to Arbitrage. Stochastic Proc. Applic., 76(2), pag. 217-

230.

[21] J.L. Sole and F. Utzet (1990): Stratonovich integral and trace. Stochastics and Stochastics

Reports, 29 (2), pag. 203-220.

[22] T. Sottinen (2001): Fractional Brownian m!otion, random walks and binary market models.

Finance and Stochastics, 5, pag. 343-355.

[23] M. Taqqu (1975): Weak convergence to the fractional Brownian motion and to the Rosenblatt

process. Z. Wahrscheinlichkeitstheorie verw. Gebiete, 31, pag. 287-302.

[24] M. Taqqu (1979): Convergence of integrated processes of arbitrary Hermite rank. Z.

Wahrscheinlichkeitstheorie verw. Gebiete, 50, pag. 53-83.

[25] C.A. Tudor (2006): Analysis of the Rosenblatt process. Preprint, SAMOS, Universit.e de

Paris 1.

[26] W. Willinger, M. Taqqu and V. Teverovsky (1999): Long range dependence and stock

returns. Finance and Stochastics, 3, pag. 1-13.

[27] M. Zaehle (1998): Integration with respect to fractal functions and stochastic calculus.

Prob. Theory Rel. Fields, 111, pag. 333-374.