Другие статьи

 

См. также:   Динамическая модель вибрации двигателя

 


 

A Kamenev-type oscillation result

for a linear (1+α)–order fractional differential equation

 

Признак колеблемости каменевского типа

для линейных дифференциальных уравнений дробного (1+α) порядка

 

Dumitru Baleanu, Octavian G. Mustafa, Donal O’Regan

(arxiv.org/abs/1310.4365)

 2013

 

 

ABSTRACT

 

ПРЕДИСЛОВИЕ

 

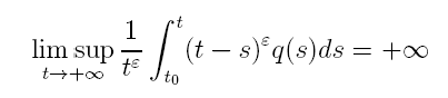
We investigate the eventual sign changing for the solutions of the linear equation (x(α))’ + q(t) x = 0, t ≥ 0, when the functional coefficient q satisfies the Kamenev-type restriction

for some  ε > 2, t0 > 0.  The operator x(α) is the Caputo differential operator and α ∈ (0, 1).

 

 

 

Исследуем знакопеременность решения решений линейного дифференциального уравнения (x(α))’ + q(t) x = 0, t ≥ 0, где коэффициент q удовлетворяет условию Каменева

для некоторых  ε > 2, t0 > 0 (Прим. переводчика:  вообще-то у Каменева так:   ε = n – 1, n > 2).  Оператор x(α) – дифференциальный оператор Капуто, α ∈ (0, 1).

 

 

 

ЧИТАТЬ ПОЛНОСТЬЮ

 

Справочно:

И.В.Каменев.  Об одном интегральном признаке колеблемости линейных дифференциальных уравнений второго порядка

В.В.Иванов.  Уравнение Риккати и линейные осцилляторы переменной частоты

Математическая энциклопедия.  Колеблющееся решение

 


Описание: Описание: Описание: Описание: Рейтинг@Mail.ru