Признак колеблемости каменевского типа для линейных дифференциальных уравнений дробного (1+α) порядка

 


 

Колеблющееся решение

 

(источник – Математическая энциклопедия)

 

 

Колеблющееся решение – решение дифференциального уравнения

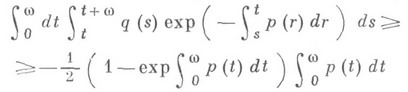
обладающее свойством: для любого t1 > t0 найдется точка t2 > t1, при переходе через которую функция x(t)меняет знак. Во многих прикладных задачах возникает вопрос о существовании К. р. или о колеблемости всех решений уравнения (*). Известно много достаточных условий, при к-рых уравнение (*) имеет К. р. (см. [1] - [3]). Например, любое нетривиальное решение уравнения х"+2dx' + w2 х = 0 с постоянными коэффициентами колеблется, если d2<w2; любое нетривиальное решение уравнения

с w-периодическими коэффициентами колеблется, если

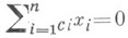
и  на [0w].

В ряде приложений возникает вопрос о К. р. (в определенном смысле) системы обыкновенных дифференциальных уравнений. Например, в теории регулирования изучают колеблемость относительно заданной гиперплоскости   решений х(t) = (x1(t),..., xn(t)) системы уравнений x' = f{t, x), т. е. вопрос о колеблемости функции. Изучают также [a, b]-колеблющиеся  решения, при этом ограниченное решение x(t)системы х' = f(t, x) наз. [a, b]-колеблющимся, если функция s(t) колеблется и для любого  найдутся точки t2 и t3 такие, что tl < t2 < t3, s(t2) < a, s(t3) > b, причем a < 0 < b. Для системы (2) существуют и другие определения колеблемости решений.

 

Литература:

[1] Xартман Ф., Обыкновенные дифференциальные уравнения, пер. с англ., М., 1970;

[2] Swansоn С. А., Comparison and oscillation theory of linear differential equations, N. Y.- L., 1968;

[3] Кигурадзе И. Т., Некоторые сингулярные краевые задачи для обыкновенных дифференциальных уравнений, Тб., 1975.