К оглавлению


 

 

1.  Введение

 

 

 

 

Попытки сконструировать дробную версию пуассоновского процесса были предприняты Репиным и Саичевым (2000) , Jumarie (2001) и Ласкиным (2003).

Идея конструирования дробного процесса с помощью обычного пуассоновского (по аналогии с хорошо известным случаем броуновского движения) встречается в статьях Wangа сотоварищи (2006)-(2007). Предложенный ими процесс сгенерирован с помощью стохастического интеграла по мере Пуассона.

Мы пойдем совсем другим путем и сконструируем несколько видов дробного пуассоновского процесса.

Наши главные результаты относятся к дробному пуассоновскому процессу Nν (t), t > 0, распределение которого pk = Pr{Nν (t) = k},  k 0,  является решением уравнения:

 

 

где p−1(t) = 0 и pk(0) удовлетворяет условию:

 

 

Применим в формуле (1.1) определение дробной производной Dzerbayshan-Caputo:

 

 

где m N   (см. Podlubny (1999), стр.78)

 

 

Обратим внимание, что при ν = 1 (1.1) превращается в уравнение однородного пуассоновского процесса, то есть мы обобщаем результаты для хорошо известного распределения.

 

Решением для (1.1)-(1.2) является распределение процесса, который в дальнейшем мы будем обозначать как Nν (t), t > 0. Представление дробной производной в виде (1.1) приводит к ряду выводов, важнейшим из которых является независимость приращений Nν.

 

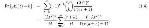
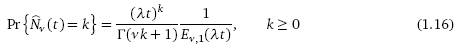
Мы будем использовать различные формы представления решения (1.1); вот первая из них:

 

 

 

при  k 0, t > 0.

 

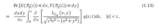
Распределение (1.4) совпадает с формулой (25) в статье Ласкина от 2003г., хотя оно было получено как решение уравнения (1.1) с дробной производной в смысле Римана-Лиувилля, а не в смысле (1.3).

 

В работе Jumarie (2001) дробная производная также берется в смысле Римана-Лиувилля, она входит в начальное условие и в результате опять получается формула (1.4). В качестве базового материала по дробному исчислению рекомендуем читать Самко сотоварищи (1993).

 

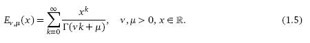
Другая форма записи данного распределения представлена в терминах обобщенной функции Миттаг-Лефлера и определена следующим образом (см. Podlubny (1999), стр.17):

 

 

Для небольших значений k получаются интересные выражения; например, для k=0:

 

 

то есть распределение времени ожидания первого пуассоновского события.

 

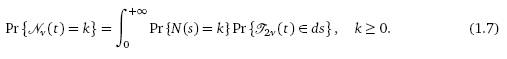
Мы можем доказать, что дробный пуассоновский процесс Nν (t), t>0, с распределением (1.4) связан с обычным однородным пуассоновским процессом N (t), t>0 следующим соотношением:

 

 

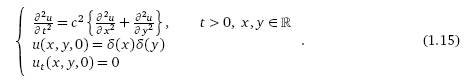
В (1.7) T2ν (t), t>0, - случайный процесс с распределением v2v = v2v  (y, t), удовлетворяющим следующей задаче Коши (для дробного уравнения диффузии):

 

 

с дополнительным условием: vt (y,0) = 0, for 1/2 < v < 1.

 

Соотношение (1.7) означает, что дробный пуассоновский процесс Nν имеет следующее представление:

 

 

и, следовательно, его можно рассматривать как однородный пуассоновский процесс, остановленный в случайное время T2ν (t).

 

На основе вышесказанного в Разделе 3 мы построим случайное блуждание на плоскости, состоящее из движений с конечной скоростью c и изменений направления через промежутки времени, определенные дробным пуассоновским процессом Nν. Каждое изменение направления происходит по равномерному закону на [0, 2π]. Это построение является первой целью нашего исследования.

 

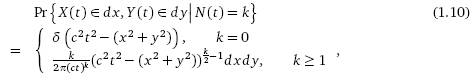
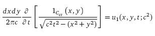
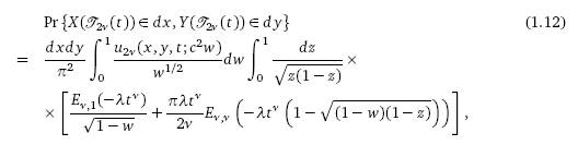
Для простейшего случая, когда процесс, управляющий изменениями направления – стандартный пуассоновский, данная модель была исследована в статье Kolesnik и Orsingher (2005). Условное распределение случайного вектора (X(t), Y (t)) , t > 0 (представляющего позицию движущейся частицы в момент t) задается как

 

 

 

для t>0, (x, y) Cct = { x, y: x2+y2 c2t2 }.

 

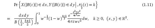
Мы получим аналог формулы (1.10) для дробного случая, т.е. для  ν € (0, 1]. В частности, для случая ν = 0.5, дробный процесс, управляющий изменениями направления, задается формулой N1/2 (t) = N(|B(t)|); таким образом, в этом случае уравнение (1.8) сводится к уравнению теплопроводности. Мы докажем, что условное распределение случайного вектора (X(|B(t)|), Y (|B(t)|)) , t > 0 может быть записано так:

 

 

где B(α, β) означает бета-функцию с параметрами α, β, а B(t), t > 0 – стандартное броуновское движение, не зависящее от (X(t), Y (t)). Это означает, что движение на плоскости с броуновским временем может быть рассмотрено как броуновское движение на плоскости с собственным вероятностным распределением, обладающим свойствами бета-распределения, зависящего от количества изменений направления.

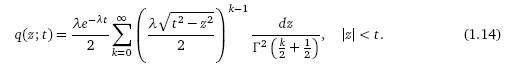
Безусловный вариант распределения принимает интересные формы, особенно – в некоторых частных случаях. Вообще, для ν € (0,1], мы имеем:

 

 

где u2ν = u2ν (x, y, t; λ2) – фундаментальное решение волнового уравнения для дробного случая (см. ниже (3.16)).

В случае ν = 1 предыдущее выражение приобретает следующую интересную форму:

 

 

где

 

 

Распределение (1.14) –частное безусловное распределение случайного блуждания по плоскости (X(t), Y (t)) , t > 0 (со скоростью, равной 1), заданного формулой (1.3) в работе Orsingher, De Gregorio (2007).

Функция-ядро в (1.13)

 

 

известна из теории цилиндрических волн, занимающейся анализом следующей задачи:

 

 

Раздел 4 посвящен исследованию альтернативных форм дробного пуассоновского процесса. Первая из них, обозначенная как , определена как обобщение пуассоновского распределения на случай ν € (0,1] следующим образом:

 

 

таким образом, его производящая функция выглядит так:

 

 

Как будет видно далее, для ν = 1 формулы (1.16) и (1.17) сводятся к соответствующим результатам для стандартного пуассоновского случая. Данная версия дробного пуассоновского процесса не обладает свойством независимости приращений.

Мы докажем, что производящая функция (1.17) является решением дробного уравнения:

 

 

Отталкиваясь от данной модели, построим дробную версию сложного пуассоновского процесса, определенного (для любого фиксированного t) как сумма случайного количества  независимых и одинаково распределенных с.в., и получим для этого процесса характеристическую функцию.

 

Кроме того, для двух первых версий дробного пуассоновского процесса получим некоторые результаты, касающиеся максимума, минимума и порядковых статистик последовательностей н.о.р.с.в., темп поступления которых задается Nν и .

 

В гидрологии и сейсмологии последовательность катастрофических событий может быть представлена дробным пуассоновским процессом, лишенным свойства отсутствия последействия, в отличие от обычного пуассоновского. Оценка распределения максимума н.о.р.с.в., количество которых определяется дробным пуассоновским процессом, имеет практическое применение, т.к. позволяет определять вероятность экстремальных событий.

 

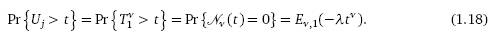
Третий процесс, , t>0, описанный в данной работе, есть процесс восстановления с временами между событиями Uj , j ≥ 1, удовлетворяющими формуле (1.6):

 

 

Распределение  можно выразить, для m ≥ 0, так:

 

 

где  – плотность стационарных с.в. Sν(μ, β, σ),  μ = 0, β = 1, σ = (t cos πν/2)1/ν.

 

 

 

Раздел 2.  Первая форма дробного пуассоновского процесса

 

 

ЧИТАТЬ  СТАТЬЮ  ПОЛНОСТЬЮ