К оглавлению

 

Раздел 1.  Введение

 


 

 

 

2.  Первая форма дробного пуассоновского процесса

 

 

 

Построим первый тип дробного пуассоновского процесса (который мы определили как Nν (t), t>0) с помощью замены в дифференциальных уравнениях, управляющих классическим пуассоновским процессом, обычных производных на дробные, определенные формулой (1.3), то есть на производные Dzerbayshan-Caputo.

Таким образом, нас интересует решение уравнений:

 

 

где p−1(t) = 0 и с начальными условиями:

 

 

Использование определения (1.3) позволяет нам избавиться от дробной производной в начальных условиях и получить другие, более удобные с вероятностной точки зрения выражения для решения.

Дифференциальное уравнение для производящей функции в стандартном случае

 

 

мы заменим на следующее уравнение:

 

 

с начальным условием G(u,0) = 1.

 

 

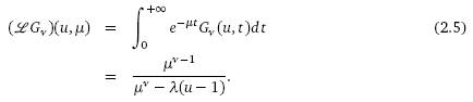
Применим преобразование Лапласа к решению (2.4):

 

 

Обратное преобразование Лапласа, примененное к (2.5), дает следующую производящую функцию:

 

 

Уникальность решений (2.4) может быть доказана с помощью предположения о существовании двух решений (G1 и G2) и решения задачи Коши для h(u, t) = G1(u, t) - G2(u, t), с начальным условием h(u, 0) = 0. Существование решения следует из нашего анализа.

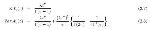
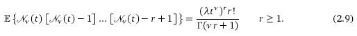
Из формулы (2.6) можно почерпнуть немало информации: некоторые следствия очевидны:

 

 

Обратим внимание, что обычное уравнение между мат. ожиданием и дисперсией отсутствует в этой модели, в то время, как при ν = 1 оно может быть записано как  E N1 (t) = Var N1 (t).

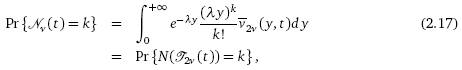
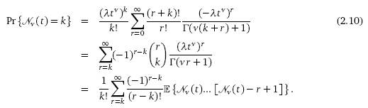
Наиболее интересный результат – функция распределения, связанная с (2.6):

 

 

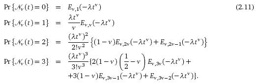
Для небольших k можно записать распределение (2.10) в терминах функций Миттаг-Лефлера:

 

 

 

Теперь получим удобное представление решения (2.1)-(2.2), дающее интересную вероятностную интерпретацию для родственного процесса. Следующий результат показывает важную связь между дробным пуассоновским процессом и дробными уравнениями диффузии.

Определим ν2ν = ν2ν(y, t) решение следующей задачи Коши:

 

 

с дополнительным условием

 

 

Условие (2.13) обусловлено применением преобразования Лапласа дробной производной (см. Podlubny (1999), формула (2.253), стр.106)

Хорошо известно, что

 

 

где

 

 

 

Теорема 2.1

 

Пусть

 

 

– свернутое решение (2.12), тогда производящая функция дробного пуассоновского процесса Nν (t), t>0, может быть записано в виде:

 

 

Соответствующее распределение, при k 0,

 

 

 

где   t > 0, описывает случайное время с плотностью перехода, заданной формулой (2.15).

 

 

 

…………………………

 

 

ЧИТАТЬ  СТАТЬЮ  ПОЛНОСТЬЮ